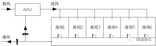
单房间全空气系统(定风量)的温湿度控制:
温度调节:


温度调节:离散PID

当风量不变时,可以通过控制送风温度,调节室温:

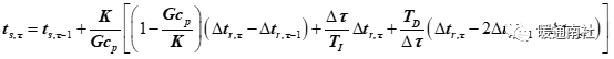
串级调节:将调节过程分成两个时间常数差别较大的过程,分别进行调节,可以有效解耦,实现更好的控制。
温度调节:串级控制的时间步长。

室温:30分钟升高或降低1℃;
送风温度:30秒升高或降低1℃。
湿度调节:
相对湿度(Relative humidity):与温度耦合;
含湿量(Humidity ratio):反映空气的实际含水量。
通过控制含湿量与温度,来控制相对湿度。

湿度调节:串级控制的时间步长。

室内空气湿度:10分钟升高或降低1g/kg;
送风湿度:50秒升高或降低1g/kg。
单房间全空气系统(变风量)的温湿度控制:
Q=GCP(ts-tr)
温度调节:

湿度调节:

温度湿度耦合的处理:
当不要求控制湿度时,定送风温度(为允许的最低/最高温度),变送风量调节房间温度;当要求控制湿度时,需修订风量和送风温度。

多房间全空气系统的温湿度控制:
单风道系统:

取某一房间为参照,根据其温度确定送风参数;
或者根据各房间的温湿度状态,确定满足大多数房间的送风参数。
单风道加末端再热系统:

通过末端再热调节温度或湿度中的某一个参数,通过送风参数调节另外一个参数。
当对湿度没有要求时,根据节能规则确定送风温度,调节末端再热器满足温度要求;
目标:至少保证一个再热器全关。
开度最小的再热器的加热量>20%,则 ts↑0.5℃;全关再热器数≥1且tr-tset>0.5℃,则ts↓0.5℃。
不满足上两条,ts不变;送风温度修正的时间步长;需大于再热器调节室温的稳定周期。
当湿度要求不高,温度要求高时:定送风温度,变再热器供热量调节房间温度。
取一个参照房间,根据该房间湿度要求确定送风温度;
或测量所有房间湿度,确定满足大多数房间的送风温度。
当温度要求不高,湿度要求高时:定送风温度,变再热器供热量调节房间相对湿度。
取一个参照房间,根据该房间温度要求确定送风温度;
测量所有房间温度,确定满足大多数房间的送风温度。
双风道系统:

调节冷热风比例,控制房间温度或湿度;冷热抵消大、风机能耗大,现已基本不用。
空气处理过程的控制:
常用处理过程:
水-空气加热器:

调节水阀开度,调节加热量及出口空气温度。
水-空气冷却器+空气旁通:

调节水阀开度,调节除热量、除湿量及出口空气温、湿度。
调节旁通风阀开度,确定混合后空气的状态。
水喷淋:

调节水泵转速或水阀,调节加湿量、及出口空气温、湿度。
喷蒸汽:

调节蒸汽阀,调节加湿量、及出口空气湿度。
全热交换器:

水循环式全热交换器:

调节水泵转速,调节预冷量、再热量,控制出口空气温湿度。
新回风比可变的空调箱:

调节新风阀、回风阀、混风阀,控制新回风比例。

调节手段:
调节新、回、混风阀,调新风比;调节冷水阀,降温除湿;
调节旁通风阀,调节表冷器后的空气状态;调节热水阀,升温;
调节加湿泵转速,调节加湿量。
空气处理过程的控制:
典型空调箱例:
确定混风状态,目标:混风点落在I-S-D线上。

新、回风状态在I-S-D线的两侧时:混风点落在I-S-D线上;
新、回风状态在I-S-D线的同侧时;
新风点距离I-S-D线近时,最大新风运行;
回风点距离I-S-D线近时,最小新风运行。
确定混风点后的处理措施:
1区:加热喷水;
2区:冷却旁通再热;
3区:冷却旁通喷水;
4区:冷却喷水。

空气处理闭环调节的实现:
只能根据空调箱,出口空气状态调节设备,1区:加热喷水,焓控加热器,温度控水泵。
2区:冷却旁通再热,冷水阀全开,d控旁通风阀,温度控再热器。
3区:冷却旁通喷水,冷水阀全开,焓控旁通风阀,温度控水泵。
4区:冷却喷水,焓控冷水阀,温度控水泵。

设备的调节特性:
风阀:非线性特性,不容易得到好的控制效果,线性化。
X`=lnX
对X’对进行PID计算,将PID输出通过exp(X’)换算为风阀位置.
执行器动作精度:5%。

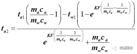
水-空气换热器:
换热量:



出口空气温度:

水-空气换热器:
出口空气温度随水量非线性变化;
水量大到一定程度,空气温度几乎不随水量变化;
尽量避免工作在温度不敏感区域。


开度-流量关系与阀门特性及阀门、管道阻力比有关。
水阀:开度-流量关系实现方法。

阀门理想流量特性的实现:阀芯形状。

水阀:开度-流量关系:流通能力-kv
定义:阀门两端的压差为1bar时,阀门全开时流经阀门的流量,以m3/h计。

计算:

水阀:开度-流量关系:阀权度

水阀:开度-温度关系

水阀:开度-温度关系

非线性特性,小开度时,开度变比对温度变化影响大;
阀门开度较大时,阀门开度变化对温度变化影响下,失去调节作用;
阀门机械结构的限制,使阀门开度调节存在死区;
对阀门-开度关系线性化,并根据水力、热力工况自动修正线性化函数。
开度-温度关系:

本文素材来源于互联网。暖通南社整理编辑于2021年3月8日。

