冷源或热源生产的冷量和热量通过能量传递介质输送到室内的供冷或采暖设备,承担室内的冷负荷或热负荷。
空调中常用的能量传递介质有:
(1)制冷剂(如R22、R134a、R410a等);
(2)水—传递冷量的称为冷冻水,也称冷水;传递热量的称为热水;
(3)蒸汽—只用于传递热量。
冷源向建筑供冷:

热源向建筑供冷:

冷冻水、热水循环流动的动力来自水泵。水泵将原动机的机械能转换成水流动的机械能。
用电动机拖动的水泵消耗电能。在空调系统中水泵的能耗(称输送能耗)占了不可不可忽视的份额。
冷冻水、热水循环流动的动力来自水泵。水泵将原动机的机械能转换成水流动的机械能。
用电动机拖动的水泵消耗电能。在空调系统中水泵的能耗(称输送能耗)占了不可不可忽视的份额。

冷热水泵占了空调总能耗的19.5%。
冷热水泵、冷却水泵能耗占空调总能耗的28%。
GB50189-2015公共建筑节能设计标准规定:
4.3.6 空调水系统布置和管径的选择,应减少并联环路之间压力损失的相对差额。当设计工况下并联环路之间压力损失的相对差额超过15%时,应采取水力平衡措施。
4.3.7 采用换热器加热或冷却的二次空调水系统的循环水泵宜采用变速调节。
4.3.8 除空调冷水系统和空调热水系统的设计流量、管网阻力特性及水泵工作特性相近的情况外,两管制空调水系统应分别设置冷水和热水循环泵。
4.3.9 在选配空调冷(热)水系统的循环水泵时,应计算空调冷(热)水系统耗电输冷(热)比[EC(H)R-a],并应标注在施工图的设计说明中。空调冷(热)水系统耗电输冷(热)比计算应符合下列规定:
1 空调冷(热)水系统耗电输冷(热)比应按下式计算:

式中:EC(H)R-a——空调冷(热)水系统循环水泵的耗电输冷(热)比;
G—每台运行水泵的设计流量(m3/h);
H—每台运行水泵对应的设计扬程(mH2O);
ηb—每台运行水泵对应的设计工作点效率;
Q—设计冷(热)负荷(kW);
△T—规定的计算供回水温差(℃),按表4.3.9-1选取;
A—与水泵流量有关的计算系数,按表4.3.9-2选取;
B—与机房及用户的水阻力有关的计算系数,按表4.3.9-3选取;
α—与∑L有关的计算系数,按表4.3.9-4或表4.3.9-5选取;
∑L——从冷热机房出口至该系统最远用户供回水管道的总输送长度(m)。
表4.3.9-1 △T值(℃)

表4.3.9-2 A值

表4.3.9-3 B值

表4.3.9-4 四管制冷、热水管道系统的α值

表4.3.9-5 两管制热水管道系统的α值

2 空调冷(热)水系统耗电输冷(热)比计算参数应符合下列规定:
1)空气源热泵、溴化锂机组、水源热泵等机组的热水供回水温差应按机组实际参数确定;直接提供高温冷水的机组,冷水供回水温差应按机组实际参数确定。
2)多台水泵并联运行时,A值应按较大流量选取。
3)两管制冷水管道的B值应按四管制单冷管道的B值选取;多级泵冷水系统,每增加一级泵,B值可增加5;多级泵热水系统,每增加一级泵,B值可增加4。
4)两管制冷水系统α计算式应与四管制冷水系统相同。
5)当最远用户为风机盘管时,∑L应按机房出口至最远端风机盘管的供回水管道总长度减去100m确定。
空调水系统种类:
1.两管制和四管制系统

2.定流量与变流量系统
空调处理机组需要调节冷量或热量以适应房间负荷的变化。
调节方法:质调—改变水的温度量调—改变通过空气/水换热器(称盘管)的水流量。
水流量调节方法—两通阀调节和三通阀调节(旁通调节)

定流量与变流量水系统的原理图:

单级泵和双级泵系统:

空调水系统中的水泵:
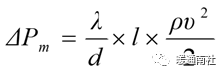
水在管内流动有摩擦阻力(又称沿程阻力或长度阻力)和通过各个部件(如弯头、阀门、三通、设备等)的阻力(称局部阻力),水泵提供的压力(扬程)要克服这些阻力。
闭式水系统中水泵所提供的压力应等于水在环路中循环一周的总压力损失。

水泵的压力=通过支路①的环路总阻力。
管路的摩擦阻力(单位Pa):

局部阻力(单位Pa):

式中,λ—摩擦阻力系数;
ζ—局部阻力系数;
l、d—分别为管长和管径,m;
ρ—流体密度,kg/m3;
υ—流速,m/s。
设管内流量为V(m3/s),则:

对同一管路系统有:

式中,△P—管路总阻力,Pa;S—管路特性系数。
空调水系统常用的水泵是离心式水泵。
离心式水泵分为单级泵、多级泵。单级泵又分为单吸离心泵和双吸离心泵,卧式和立式(又称管道泵)。
水泵主要性能参数:
1)流量:单位m3/s,l/s;习惯上用m3/h。
2)扬程:
扬程—水泵所输送的水单位体积所获得的能量,J/m3,即Pa,用压力P来表示。习惯上水泵扬程用水柱高度H来表示,单位写成mH20,与SI制单位换算关系是
1mH20=9.8×103Pa=9.8kPa ≈10kPa
例1,20mH20=20×9.8×103=19.6×103Pa=19.6kPa。
例2,100kPa=100/9.8=10.2mH20≈10mH20。
功率和效率:
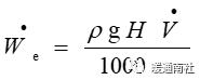
有效功率(单位W)—水在水泵中获得的能量:

水泵功率单位常用kW,因此:

的单位是m3/s。

(单位为kW)—输入水泵的功率。

式中,η称为水泵效率,一般在0.5~0.8之间。
水泵配用电机的功率需考虑安全裕量。水泵实际消耗的功率还应考虑电机效率。
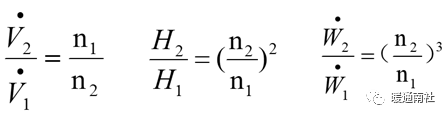
转速:转速由n1→n2时,流量、扬程、功率的变化如下:

工作压力:
工作压力——水泵可能承受的最大压力。两种标识:
(1)规定吸入压力≤某值。
(2)工作压力≤某值。例如工作压力≤1.6MPa,即要求吸入压力+扬程≤1.6MPa。
水泵的性能曲线:
单台性能曲线:
有三种性能曲线:
,常用的性能曲线


水泵在设计工作点的效率最高,偏离它愈大,效率愈低。

两台相同性能水泵并联工作性能:

图9 两台性能相同的泵并联工作性能曲线
两台不同性能水泵并联工作性能:

图10 两台性能不同的泵并联工作性能曲线
转速改变时性能曲线的变化

图11 水泵转速改变时性能曲线的变化
图中A1→A2,B1 →B2,C1 →C2按3.2.4中关系式变换。例如:原转速n1=1450rpm,变频转速n2=1305rpm,固有:


水系统工况调节:
管路阀门调节:

当关闭管路中阀门,管路特性曲线由1→2,工作点O→O’
图12也表示了当水泵扬程选得过大的后果。
设设计流量为

所选水泵扬程HO’,实际运行时工作点在O,实际流量为

若要在流量

运行,工作点在O’,(HO’—HO”)为多余的扬程,这就是多消耗了功率。
理想情况:按O”选水泵。
变频调节:

水泵台数调节:以2台泵并联为例:

一台变速泵和一台变频泵调节:

流量在VA、VC之间两台泵工作;流量≤VC时,一台变频工作。
管路特性形式的辨识:
式中,H1—系统的静扬程,mH20。
H1?物理意义不明!
开式水系统:

空调水系统中水泵的选择:
水泵根据流量与扬程选择。流量根据设备(冷水机组、直燃机、烟气机)的流量来确定。
单级泵水系统中水泵扬程=水在管路中循环一周的阻力,即水泵→冷水机组→分水器→空气处理机组→集水器→水泵。
双级泵水系统:

一次泵的扬程=(a→一次泵→LC→b)的阻力
二次泵的扬程=(b→二次泵→空气处理机组→a)的阻力
水系统的定压:
水系统定压保证系统在确定的压力下稳定运行,防止出现真空、超压。
定压设备有多种,它的主要功能是保持系统内某点的压力恒定;在水温变化时容纳或补充多余或欠缺的水量。
1.膨胀水箱定压

膨胀水箱上接管:
膨胀管—接到定压点上,此管上不得装阀门循环管—当膨胀水箱在不采暖区时,防止水冻结,与膨胀水箱同时接到回水管上,相距1.5~3m。
信号管—用于检查水箱内是否有水,接到机房水盆处。
溢流管—膨胀水箱水过多时溢流用,接到排水处。
排水管—用于水箱检修时排水。
膨胀管的连接位置分析:

设:水泵中心标高为±0.0;d点标高20m;水泵扬程25mH20;冷水机组阻力10mH20;膨胀水箱水位标高25m;
当膨胀管接在a点时:
Ha=25 mH20(定压点);
Hb=25+25=50 mH20(冷水机组承压约0.5MPa);
Hc=50-10=40 mH20;
Hd=25-20+△hda>0;
He=40-20-△hce>Hd>0。
当膨胀管接在b点时:
Hb=25 mH20(定压点);
Ha=25-25=0 mH20;
Hc=25-10=15 mH20;
He=15-20-△hce<0;
Hd=0-20+△had一般说是负压。
当膨胀管接在c点时:
Hc=25 mH20(定压点);
Hb=25+10=35mH20;
Ha=35-25=10 mH20;
He=25-20-△hce,当△hce>5 mH20,He<0;
由上面分析可见,定压点在水泵的吸入管上是适宜的。
又设d点标高为90m,膨胀水箱水面标高为95m。当定压点仍在a点时,则:
Ha=95 mH20;
Hb=95+25=120 mH20。
若机组承压能力为1MPa,这时机组的承压能力<系统内工作压力。怎么办?
解决方案一,更换承压能力高的机组。
解决方案二,将水泵移到c点,定压点不变,这时:
Ha=95 mH20 ;
Hd=95-90+△hda>0。
2.气压罐定压

气压罐在最低压力P1和最高压力P2之间运行,定压点a基本上在P1~P2之间波动。

P1按系统最高点来确定
P2=P1+(0.03~0.05)MPa
当系统缺水,罐内向系统补水,罐内水位下降,压力P↓。
P=P1时,补水泵启动,向罐内补水。
P=P2时,补水泵停,补气罐内水位下降,吸气阀打开,补气,经多次补气后,气容积↑,水容积↓。
当水位下降到自动排气阀限定的水位时自动排气,水位恢复正常。
当温度升高,水容积增大,P↑。P=P2+(0.01~0.02)MPa时,打开电磁阀,泄水。
当P=P2–(0.01~0.02)MPa时,关闭电磁阀。
当P=P2+ (0.02+0.04)MPa,安全阀打开,泄水。
膨胀水箱、气压罐的选择:
按容积选,容积=系统中水因温度变化引起的容积变化。
膨胀水箱根据国家标准图集选用和制作。
气压罐已有产品供应,可按样本选用。
烟气机的机房水系统:
烟气机在空调水系统中的连接方式:

这种并联连接,要求不同类型的机组在设计工况下供水温度、温差均一致。
制冷工况:冷水机组一般供/回水温度为7/12℃,与烟气机一致,直接并联即可。
当冷水机组的供/回水温度为7/13℃时,应调节烟气机的温差。
制热工况:常规设计,供水温度60℃,温差8~10℃;
烟气机的供/回水温度各种型号不一样。Yazaki烟气机55/48℃;远大烟气机65/55℃;三洋烟气机60/56℃;三洋烟气热水机60/57.2℃。
当生产热水的设备供回水温度不一致时,需调整到一致。
烟气机水泵的配置:
烟气机水泵台数:
有的烟气机额定工况下的冷水流量与热水流量相等,如Yazaki、三洋设备。有的不相等,如远大。
当烟气机与其他制冷、制热设备并联在一个系统中时,烟气机一般应分别设冷水泵和热水泵,或设一台冬夏都用的变频泵,原因为:
1)不同类型机组的冷热水供回温度调整到一致,导致流量的变化。
2)建筑物冬夏负荷不一样,冷、热水温也不一样,导致空调水系统冬夏流量和系统阻力不相等。
GB50736-2012 《民用建筑供暖通风与空气调节设计规范》要求:
8.5.4 集中空调冷水系统的选择,应符合下列规定:
1 除设置一台冷水机组的小型工程外,不应采用定流量一级泵系统;
2 冷水水温和供回水温差要求一致且各区域管路压力损失相差不大的中小型工程,宜采用变流量一级泵系统;单台水泵功率较大时,经技术和经济比较,在确保设备的适应性、控制方案和运行管理可靠的前提下,可采用冷水机组变流量方式;
3 系统作用半径较大、设计水流阻力较高的大型工程,宜采用变流量二级泵系统。当各环路的设计水温一致且设计水流阻力接近时,二级泵宜集中设置;当各环路的设计水流阻力相差较大或各系统水温或温差要求不同时,宜按区域或系统分别设置二级泵;
4 冷源设备集中设置且用户分散的区域供冷等大规模空调冷水系统,当二级泵的输送距离较远且各用户管路阻力相差较大,或者水温(温差)要求不同时,可采用多级泵系统。
8.5.5 采用换热器加热或冷却的二次空调水系统的循环水泵宜采用变速调节。对供冷(热)负荷和规模较大工程,当各区域管路阻力相差较大或需要对二次水系统分别管理时,可按区域分别设置换热器和二次循环泵。
8.5.10 二级泵和多级泵系统的设计应符合下列规定:
1 应在供回水总管之间冷源侧和负荷侧分界处设平衡管,平衡管宜设置在冷源机房内,管径不宜小于总供回水管管径;
2 采用二级泵系统且按区域分别设置二级泵时,应考虑服务区域的平面布置、系统的压力分布等因素,合理确定二级泵的设置位置;
3 二级泵等负荷侧各级泵应采用变速泵。
8.5.11 除空调热水和空调冷水系统的流量和管网阻力特性及水泵工作特性相吻合的情况外,两管制空调水系统应分别设置冷水和热水循环泵。
8.5.12 在选配空调冷热水系统的循环水泵时,应计算循环水泵的耗电输冷(热)比EC(H)R,并应标注在施工图的设计说明中。耗电输冷(热)比应符合下式要求:



8.5.13 空调水循环泵台数应符合下列规定:
1 水泵定流量运行的一级泵,其设置台数和流量应与冷水机组的台数和流量相对应,并宜与冷水机组的管道一对一连接;
2 变流量运行的每个分区的各级水泵不宜少于2台。当所有的同级水泵均采用变速调节方式时,台数不宜过多;
3 空调热水泵台数不宜少于2台;严寒及寒冷地区,当热水泵不超过3台时,其中一台宜设置为备用泵。
8.5.14 空调水系统布置和选择管径时,应减少并联环路之间压力损失的相对差额。当设计工况时并联环路之间压力损失的相对差额超过15%时,应采取水力平衡措施。
8.5.15 空调冷水系统的设计补水量(小时流量)可按系统水容量的1%计算。
8.5.16 空调水系统的补水点,宜设置在循环水泵的吸入口处。当采用高位膨胀水箱定压时,应通过膨胀水箱直接向系统补水;采用其他定压方式时,如果补水压力低于补水点压力,应设置补水泵。空调补水泵的选择及设置应符合下列规定:
1 补水泵的扬程,应保证补水压力比补水点的工作压力高30kPa~50kPa;
2 补水泵宜设置2台,补水泵的总小时流量宜为系统水容量的5%~10%;
3 当仅设置1台补水泵时,严寒及寒冷地区空调热水用及冷热水合用的补水泵,宜设置备用泵。
8.5.17 当设置补水泵时,空调水系统应设补水调节水箱;水箱的调节容积应根据水源的供水能力、软化设备的间断运行时间及补水泵运行情况等因素确定。
烟气机水泵的流量与扬程:
流量:
水泵与烟气机一对一配置时,水泵流量=烟气机流量;
水泵与烟气机二对一配置时,水泵流量=烟气机流量/2;
扬程:
水泵扬程取决于系统的阻力,系统阻力分两部分:
负荷侧阻力(∑△H)l—从分离器→空气处理器→集水器的阻力;
冷热源侧阻力(∑△H)s—从集水器→水泵→制冷制热设备→分水器的阻力
单级泵系统循环水泵的扬程:H= (∑△H)S+(∑△H)l
双级泵系统中一次泵的扬程:H1= (∑△H)S
双级泵系统中二次泵的扬程:H2= (∑△H)S
空调水系统通常按制冷工况设计管路系统。在估算时,可而根据在制冷运行时阻力换算成制热运行时的阻力。
冷热源(烟气机)侧冷热水阻力换算
设烟气机额定工况下冷水流量
,阻力△HC;热水流量

,阻力△Hh1 (以上均为样本数据)。
又设实际运行冷水流量

,机房内除烟气机外的管路阻力为△Hp.c;热水流量

制冷运行时,冷源侧阻力:

制热运行时,管路阻力:



负荷侧冷热水阻力换算:
设制冷运行时负荷侧总流量(含烟气机和其他制冷设备)为
;空气处理机组阻力△Hu,管路阻力(△Hl.p )c,则这时负荷侧阻力为

制热运行时,负荷侧阻力:

单级泵系统中烟气机冷水泵的扬程为:

热水泵的扬程为:

设计手册推荐:选水泵时宜对计算流量和扬程增加5%~10%的裕量。
烟气机分设冷热水泵的几个配置方案:
一台烟气机,系统内有其他制热设备:

二台同规格烟气机
方案一,每台烟气机按图22配置水泵。
方案二,如图23所示。

空调水系统控制要求:
单级泵系统压差旁通控制:

压差控制器(PD)设定压差值?
制冷工况应为(∑△H)l.c,制热工况应为(∑△H)l.h。
如果在制冷运行和制热运行采用同一压差值控制有什么后果呢?
例:设冷水泵扬程27mH2O;冷源侧阻力(∑△H)s.c=14mH2O;负荷侧阻力(∑△H)l.c=13mH2O;热水泵扬程为20mH2O;热源侧阻力(∑△H)s.h=10.5mH2O;负荷侧阻力(∑△H)l.h=9.5mH2O。
若压差设定值全年均为13mH2O,在制热运行时热水泵用于热源侧的扬程为20-13=7mH2O<(∑△H)s.h=10.5mH2O;导致制热机组流量小于设定值。
机组运行台数控制:
系统中不同类型机组的组合有多种,下面只讨论电动冷水机组于烟气机组合的系统的控制方案。

控制原则:优先使用烟气机
当冷负荷下降,压差旁通阀开启或开大,冷水(如7℃)返回到集水器,回水温度下降,经机组后供水温度下降。
温度传感器T信号→DOC →电动冷水机组卸载,供水温度恢复到7℃。烟气机不调节,供水温度低于7℃。
增机与减机控制方案之一:根据冷水机组电机的电流值控制
当2台电动冷水机组电流值均在满载电流值的45%时,关闭一台冷水机组。
当1台冷水机组负荷降到允许的最小负荷,而负荷再下降时,在供水温度达到低于7℃的设定值时,关闭此机组。
当仅剩1台烟气机运行时,根据供水温度调节烟气机的制冷量与负荷相适应。
当负荷增加,供水温度升高到7℃以上的设定值时,增开1台电动冷水机组。
当负荷继续增加,冷水机组的电流值=满负荷电流值的110%时,增开1台冷水机组。
控制方案之二:根据系统冷水负荷来增机或减机
当负荷减少达到1台冷水机组制冷量的110%时,关闭1台冷水机组;
当负荷增加,达到冷水机组制冷量的110%时,增开1台冷水机组。
冷却水系统:
冷却水系统如图26所示:

冷却塔台数、冷却水泵台数与制冷机组台数一一对应,
同型号冷却塔在水路上并联,需设平衡管路使各塔地盘水位一致。
冷水机组、冷却水泵、冷却塔及冷却塔进水管上电动阀门连锁。
烟气机、直燃机对冷却水温有一定要求,不得低于允许值。一般为22~24℃。
若该地区冷却水温可能低于允许的最低温度时,需采取措施,不使水温降到规定值以下。控制方案如图27所示。

冷却水泵的扬程=管路阻力+LC阻力+冷却塔预流喷水压力+h
管路推荐流量和流速:
管路系统设计时,通常根据流量先选择管径;在设计手册上查出单位长度摩擦阻力R、局部阻力系数ζ,最后计算管路系统的阻力。
如何选管径?通常控制R在一定范围内。表1给出了多种管径的推荐流量及相应的流速和R。
表1 钢管 推荐流量、流速和单位长度摩擦阻力

本文来源于互联网,暖通南社整理编辑于2020年12月30日。

