对于需要防雷的建筑物,一般情况下设计人员均会设置防雷网格。若为上人屋面,屋面上的接闪网格会影响人员行走及部分设备布置。但有不少情况是可以不设置的,若建筑物满足此种情况,则建议按不设置考虑。

一、相关规范及常识点
1、《建筑物防雷设计规范》 GB50057-2010
基本常识点:
一类防雷网格不应大于5mX5m或6mX4m,滚球半径30m;
二类防雷网格不应大于10mX10m或12mX8m,滚球半径45m;
三类防雷网格不应大于20mX20m或24mX16m,滚球半径60m;
建筑物女儿墙高度,一般不超过1.5m。(具体以建筑为准)
二、相关计算
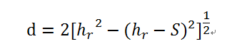
具体计算还是以《雷规》的5.2.12条文说明里的公式(23)为依据。

这个公式可以从下图来理解,对于一个三类防雷建筑物,若上人屋面女儿墙设置为1500mm,加上150mm接闪器的安装高度,那么对于半径60m的雷电滚球半径,是不可能雷击到屋面的,故而屋面可不设置接闪网格。

另公式(23)左右两边相等,即能反推导出:当女儿墙高度确定后的宽度方向最大距离值。

|
|
滚球半径m |
|
女儿墙接闪器距离地面高度m |
屋顶最大宽度方向允许值m |
|
|
|
|
|
|
|
|
|
|
||
|
|
|
|
||
|
|
|
|
||
|
|
|
|
||
|
|
|
|
||
|
|
|
|
||
|
|
|
|
||
|
|
|
|
||
|
|
|
|
||
|
|
|
|
||
|
|
|
|
|
|
|
|
|
|
||
|
|
|
|
||
|
|
|
|
||
|
|
|
|
||
|
|
|
|
||
|
|
|
|
||
|
|
|
|
||
|
|
|
|
||
|
|
|
|
||
|
|
|
|
||
|
|
|
|
|
|
|
|
|
|
||
|
|
|
|
||
|
|
|
|
||
|
|
|
|
||
|
|
|
|
||
|
|
|
|
||
|
|
|
|
||
|
|
|
|
||
|
|
|
|
||
|
|
|
|
从上表可以看出,比如对于三类防雷,当女儿墙为1.5m时,当屋顶宽边之间的距离不大于27.9m,是可以不再设置防雷网格的。
三、小结
1、不是所有防雷建筑物的屋顶都是需要设置防雷网格的。
2、 若屋面中央高于女儿墙根部的屋面,则式(23)的S为女儿墙上接闪带至屋面中央高处水平面的垂直距离。

