在制冷机组中压缩机扮演着至关重要的角色。它不仅是制冷系统的核心,更是整个系统得以运行的驱动力。制冷压缩机的功能是吸收来自蒸发器的低温低压制冷剂蒸气,并通过压缩提高其压力和温度,然后将高压高温的制冷剂蒸气排入冷凝器。确保了制冷剂能够在整个系统中循环流动,从而实现连续不断的制冷效果。
根据操作温度的不同,制冷压缩机可以分为三类:高温、中温和低温制冷压缩机。按照密封结构形式的不同,制冷压缩机还可以分为开启式、半封闭式和全封闭式三种类型。

制冷量计算方法
制冷量作为衡量压缩机工作能力的重要指标,反映了压缩机在单位时间内能够从环境中移除多少热量。以下是三种基本的制冷量计算方法:
式中:q0是制冷剂在计算工况下的单位质量制冷量(kJ/kg)。qv是制冷剂在计算工况下的单位容积制冷量(kJ/m3)。
q0及qv可根据循环的热力计算得出。所以只要知道压缩机的理论输气量Vh及输气系数λ,就可以计算出压缩机的制冷量。对于一台制冷压缩机,当使用某一种制冷剂时,其制冷量随着工况的不同而变化。因为工况改变时,压缩机的输气系数λ和制冷剂的单位容积制冷量qv都随之而变。
每一种型号的压缩机通常都由制造厂家通过试验绘出其性能曲线,表示出在不同冷凝温度tk下,制冷量Q0、轴功率Ne与蒸发温度to之间的关系。因此在压缩机型号确定以后,可以根据设计工况,在其性能曲线图上査查得该工况下的制冷量。
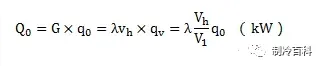
由于同一台压缩机只要转速不变,尽管工况不同,其理论输气量也是不变的。因此可得:
式中:Q λ q分别为空调工况(标准工况)与设计工况下的制冷量、输气系数、单位容积制冷量。这样如果已知压缩机标准工况或空调工况的制冷量,即可以按照上述公式换算出设计工况下的制冷量。
制冷压缩机不仅是制冷系统的心脏,也是决定系统效能的关键因素。正确理解不同类型压缩机的工作原理及其适用范围,并掌握有效的制冷量计算方法,对于保证制冷系统的高效稳定运行具有重要意义。