机电天下 暖通空调 风管变径管制作

风管变径管制作

变径管是用来连接两个不同口径或不同断面接口的配件。
圆变径管:需在两端各加设(咬接或焊接)一短直管,法兰套在短直管上。
矩形变径管:展开后分别在两端各放出一段直边。
天圆地方:应在圆口加设一段短直管,矩形一端放出一段直边。
短管或直边的长度应大于法兰高度加翻边留量之和 ,一般取50mm。
制作的工艺流程:
 
变径管的制作:
1、领料检查
(1)镀锌钢板厚度的确定
《通风与空调工程施工质量验收规范》(GB50243—2016)
表4.2.3-1 钢板风管板材厚度条:
注:1 螺旋风管的钢板厚度可按圆形风管减少10%~15%。
2 排烟系统风管钢板厚度可按高压系统。
3 不适用于地下人防与防火隔墙的预埋管。
表4.2.3-2 不锈钢板风管板材厚度(mm):
表4.2.3-3 铝板风管板材厚度(mm)
(2)法兰及螺栓规格的确定
表4.2.3-4金属圆形风管法兰及螺栓规格
表4.2.3-5 金属矩形风管法兰及螺栓规格
2、展开划线
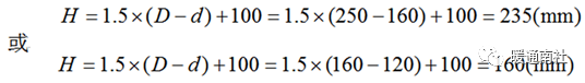
(1)变径管高的计算
《建筑设备设计施工图集》TF1—221中的两种计算方法:
一是:
二是:
该变径管高度H可按以下公式计算:
所以该变径管高度H应取235mm。
(2)咬口留量以及法兰翻边留量
矩形变径管展开时可分四块,四角可采用联合角咬口、单平咬口或按扣式咬口;也可划1/2展开,四角折边,中间用单平咬口连接。
该变径管选择以四块展开,四角选用联合角咬口。咬口留量顶板及底板每侧取20mm,侧板取10mm;法兰翻边留量每端取50mm。其展开图见下页。
3、法兰划线、下料、组焊及钻孔
(1)法兰划线
矩形法兰是由四根角钢组成,其中两根等于风管的小边长,两根等于风管的大边长加两个角钢宽度。
划线时,应注意使焊成后的法兰内边应比风管的外边长大2~3mm,允许偏差±2mm,不平度不应大于2mm,以保证连接紧密不漏风。。
角钢切断和打孔严禁使用氧—乙炔切割,可用手锯、电动切割机或角钢切断机进行切断,有条件时,最好用联合冲剪机切断。角钢断口要平整,磨掉两端毛刺,并在平台上进行焊接。
法兰的角度应在点焊后进行测量和调整,使两个对角线长度要相等。
该变径管的法兰下料见下图:
法兰螺栓孔直径要比连接螺栓直径大2mm,以防止制作时积累误差在安装时孔洞部分被遮挡而无法插入螺栓。
根据(GB50243—2016)第4.2.3 金属风管的制作应符合下列规定:2 金属风管的连接应符合下列规定:
2)金属圆形风管法兰及螺栓规格应符合表4.2.3-4的规定,金属矩形风管法兰及螺栓规格应符合表4.2.3-5的规定。微压、低压与中压系统风管法兰的螺栓及铆钉孔的孔距不得大于150mm;高压系统风管不得大于100mm。矩形风管法兰的四角部位应设有螺孔。
4、剪切下料;
5、制作咬口及组装:按预定方案加工出咬口;将法兰留量揿按出棱线后进行组装,将咬口拍紧拍实。
6、整形:使矩形变径管上下口径周正。

本文来自网络,不代表机电天下立场,转载请注明出处:https://mepbbs.com/archives/10536
上一篇
下一篇

发表回复

您的电子邮箱地址不会被公开。 必填项已用 * 标注

联系我们

联系我们

15515572238

在线咨询: QQ交谈

邮箱: 328758160@qq.com

工作时间:周一至周五,9:00-17:30,节假日休息

关注微信
微信扫一扫关注我们

微信扫一扫关注我们

返回顶部
首页
机电课程
永久会员
资料精选
搜索