本文主要是对平衡管尺寸的计算方法进行一些探讨,为广大同行做一个铺垫。
在实际的冷却塔并联运行中,当底部配有平衡管,出水管不设电动蝶阀,且有部分冷却塔停止运行时,经常会出现一台冷却塔持续补水,另外一台冷却塔溢漏。本文在研究冷却塔平衡管尺寸计算公式的基础上,也将会对此现象作出合理解释。
为简便起见,本文只讨论两台开式冷却塔并联运行的情况,计算模型示意图如图1。

图1 开式冷却塔并联运行计算模型示意图
图中,MV为电动蝶阀,在某一台机组停止运行时,起关断作用。BV为手动蝶阀,平时开启,检修时起关断作用。CWP为冷却水泵,WCC水冷机组。
现在先假设冷却塔1及其进水电动蝶阀关闭,冷却塔2运行。由于冷却塔2上部有水进入,而冷却塔1和冷却塔2同时出水,导致两台冷却塔的水位发生变化,产生高度差,从而促使水从冷却塔2经平衡管c流入冷却塔1,当达到动态平衡时,水位高度差为△h,即图1所示状态。而要想保证不发生溢漏现象,必须小于溢水管进水口所在水位与开始补水时的水位的高度差。而且该高度差△h也是平衡管c中水流流动的唯一动力。
由流体力学基本理论可知,要计算平衡管c的尺寸,要先知道平衡管c需要承担的流量。而当水流达到动态平衡时,管道a与平衡管c之间的流量必须相等。但由于精确计算管道a的流量比较困难,本文试从讨论管道a和管道b流量的关系出发,来大致估算流经管道a的流量。
管道a与管道b流量的分析
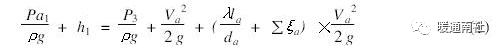
根据流体力学理论,假设在运行过程中,水为理想流体,且为定常流动。则根据伯努利方程,1-1断面与3断面之间的能量方程为:

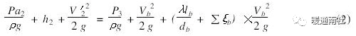
2-2断面与3断面之间的能量方程为:

式中:Pa1、Pa2—水表面大气压力,Pa:
ρ—水的密度,kg/m3
g—重力加速度,m/S2;P3—3断面处压力,Pa;Va—管道a的流速,m/s;λ—沿程阻力系数,无因次量;la—管道a的长度,m;da—管道a的直径,m;
ρξa—管道a的局部阻力系数和,无因次量;V′2—冷却塔2集水盘表面水流速度,m/s;Vb—管道b的流速,m/s;lb—管道b的长度,m;db—管道b的直径,m;ρξb—管道b的局部阻力系数和,无因次量
在对各种冷却塔样本进行计算后,确知进水在经过填料层流至集水盘上表面时,流速一般小于0101m/s,故在式(2)中将含V′2的那一项略去。
由于运行的冷却塔风机的抽吸作用,Pa2会小于Pa1,在这里为了简化计算,忽略该因素。
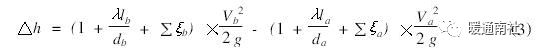
将(2)-(1)可以得到

△h=h2-h1,其最大值为溢水管进水口所在水位与开始补水时的水位的高度差。查阅样本知其值大概在0.2m-0.4m之间。
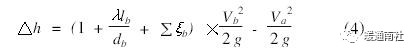
在如图1所示的这种接管方式中,la=lb,da=db,ρξa=ρξb,从而:

由式(4)可以判断,Vb≥Va。而Vb-Va的值受尺寸、管长和水位高度差的影响。在进行大量实例计算后,发现尺寸和管长对速度差的影响很小,而水位高度差对速度差的影响则相当大。同时,当速度的大小不同时,速度差的变化也很大。速度越大,速度差越小。在常用的速度范围内(1~2.5m/s),速度变化率在25%~5%内。由此可见,流经管道b的流量总是大于流经管道a的流量,其差额随着具体的情况而有所不同。但若接管方式不同于图1,则由于阻力系数的不相等,可能会出现不同于上述分析的现象。
冷却塔平衡管c的尺寸计算
由以上计算可知,流经平衡管c的流量总是小于进水管总流量的一半。假设进水管总流量为Q,若取Q/2为平衡管需要承担的流量,则可以认为计算出来的平衡管尺寸是比较安全的尺寸(当然也可以先估算出管道a的流量,并以该流量为平衡管需要承担的流量来计算平衡管尺寸)。下面以Q/2作为流经平衡管的流量,来讨论平衡管的尺寸。
同样利用伯努利方程:

式中:lc—平衡管长度,m;dc—平衡管直径,m;Vc—平衡管中水流速度,m/s;ρξc—平衡管c的局部阻力系数和,无因次量同样忽略Pa1与Pa2差值的影响,并将含V′2的那一项忽略不计,则由(5)式可推出

又由流量计算公式Q=A×V知:

由(7)式有:

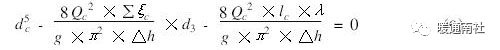
将(8)式代入(6)式并整理有:

式(9)即为计算平衡管尺寸的公式。再将(9)式写成函数的形式:

然后求f(d)=0的解即可。而该方程可用牛顿迭代法解,即:

在确定其他参数的值以后,以某初始值d0代入(10)式进行迭代计算,即可求解。
冷却塔平衡管的计算实例
某实际工程选用两台流量为250m3/h的冷却塔,设计出水管尺寸为200mm。各参数取值如下:λ=0.037,ρ弯头=1,ρ进口=0.9,ρ弯头=0.9,ρ蝶阀=0.5,平衡管计算流量取125m3/h。△h分别取0.2m,0.3m,0.4m进行模拟计算,结果如表1。

表1 模拟计算结果
观察表1的计算结果就会发现,在流量固定时,△h对冷却塔平衡管尺寸的影响不可忽视。而从样本查阅,不同的塔的△h值并不完全相同,这就告诉我们设计人员,在为冷却塔选用平衡管时,不能简单的将主管道的尺寸作为平衡管的尺寸,而应该要根据现场环境进行详细的计算。
如果在实际的冷却塔工程中发现溢漏现象,我们可以依据此计算公式对其进行分析,就会知道引起溢漏的原因大致如下:
(1)尺寸选择过小,流通能力有限。
(2)管道中有污物堵塞,或者碟阀损坏而不能全开,导致阻力系数变大,减小流通能力。
(3)并联出水干管的阻力本身就不平衡,导致管道a承担的流量大于管道b承担的流量,即使平衡管承担的流量大于总流量的一半。
结论
本文对敞开式冷却塔并联运行时平衡管尺寸的定位进行了理论推导,并得到了相应的计算公式。研究表明,水位高度差对平衡管尺寸具有不可忽视的影响,建议设计师在计算时,应该结合实际工况来进行计算。

