基础理论:

一.供暖热负荷
热负荷概算公式:Qf = q × A/1000
式中,Qf ——供暖设计总热负荷, KW ;
A——供暖建筑物的建筑面积,m2;
q——供暖建筑面积概算热指标,W /m2;指每一平方米供暖建筑面积的设计热负荷。
二.供热管网输送热量
管网输送热量公式:Qg= G×Cp×(tg–th)
式中,Qg——管网输送热量,KW ;
G——管网流量,t /h ;
Cp——流体比热容,流体为水时,Cp =1.163。
tg——供热管网的供水温度,℃;
th——供热管网的回水温度,℃;
三.换热器换热量
换热器换热量公式:Q1 = k × F ×△tm/1000
式中,Qh——换热器换热量,KW ;
k——换热器传热系数,W/(m2.℃)
F——换热器有效换热面积,m2;
△tm— 热侧(一次侧)流体与冷侧(二次侧)流体计算对数温差 ℃;
四.室内散热设备散热量
Q3 = KS×AS ×△t/1000
式中:QS——室内散热设备散热量, KW ;
KS——室内散热设备传热系数,W/(m2. ℃)
F——室内散热设备换热面积,m2;
△t—载热流体平均温度与室内温度差 ℃;△t =(tg+th)/2-tn
根据热平衡原则:Qf=Qg=Qh=Qs
五.管网阻力特性
流体在管道中流动必须克服管道阻力,流体产生一定的压力损失。流体在管道中的压力损失与管道粗细、管网布置形式和流体的流动速度(流量)有关,基本关系如下:
ΔH = R ×(L+Ld)=S ×G2; mH2O
ΔH——以mH2O为单位的管段压降;
G——管段的体积流量,m3/h;
S——管段的阻力特性系数,它的物理意义是通过单位流量管道(或管网)阻力的变化。当视水的密度ρ(kg/m3)为常数时,则S值只是管道直径、长度、绝对粗糙度的函数,即S 的大小只取决于管道的结构。也就是说,对于一定的管网,其阻力特性系数也固定不变。
1.管网阻力特性计算:
①串联管段:总阻力特性系数等于各管段阻力特性系数之和,即:

说明:在串联管段中,串联管段愈多,总阻力特性系数值愈大,各串联管段流量相等,总压降为各管段压降之和。
② 并联管段:总阻力特性系数的平方根倒数等于各管段阻力特性系数的平方根倒数之和,即:

说明:在并联管段中,各并联管段的压降Δp i与总压降相等,即Δp=Δp i。当并联管段的阻力特性系数值增大时,总阻力特性系数值也增大,反之亦然。
2.管网阻力特性线
①不同阻力特性系数的阻力特性曲线

② 串联管网阻力特性曲线
③ 并联管网阻力特性曲线
五.离心水泵特性
1.水泵的特性:
水泵样本给出的基本参数:流量Q,扬程H,效率η,必需汽蚀余量NPSH 等,这些参数表示水泵性能是由泵厂以常温清水为介质通过试验测得的值。离心水泵特性如图1-4所示。

1)流量Q:泵的流量是单位时间内泵排出口所输出的液体量。
2)扬程:泵的扬程H 是指单位重量液体通过泵获得的能量增量(Pa 或m柱)。泵样本给出的扬程是以水为基准得出的,在任何条件下泵的扬程与流体的密度无关。而压力与密度有关。
3)功率和效率:
① 有效功率:单位时间内对液体所作的功,其计算公式(特兰跟定律)如下:
No = QHγ/367
② 效率:泵效率是指泵的有效功率No和泵轴功率N之比,其公式如下所示:
η = No/N x 100%
③ 轴功率:由电机传给泵的功率,其公式如下所示:
N = QHγ/(367xη)
4)汽蚀余量(NPSH):
又称为净正吸入头,是指在泵进口处单位重量液体所具有的超过汽化压力的富裕能量。

3.水泵工作点:
水泵最佳区段并不就是水泵实际工作点。水泵实际工作点,除与水泵本身的性能曲线有关外,还与水泵连接的管网阻力特性有关。
确定水泵工作点最常用的一种方法是作图法。在图上绘制水泵工作特性曲线H-G 和管网阻力特性曲线ΔH-G,其交点即为水泵实际工作点。
在供暖系统中,循环水泵可以多台并联运行,也可以多台串联运行。水泵工作点的求法,是先作出水泵的(并联或串联)综合特性曲线,再与管网阻力特性曲线相交。从图1-5,6可看出,无论水泵是并联或串联运行,水泵的流量、扬程都将增加。但并联运行主要是增加流量,串联运行主要是提高扬程。

注意:在管网阻力特性不变的情况下,减少并联运行水泵台数时,单台水泵的功率将增加,要提防超载烧坏电机。
水泵的选型:
1 循环水泵
1) 计算系统所需的循环流量:
G=Q/(Cpx△t)(kg/s)
式中:Q—系统环路热(冷)负荷KW;
Cp——水比热容,一般取c=4.18kJ/(kg.℃);
△t——系统供回水温差;
2)水泵扬程计算:
Hp=hc+hz+hw+hy
式中:hc——换热器阻力,5mH2O左右;
hz——换热站内设备(包括除污器、过滤器、分集水器等)、管道、阀门等阻力,5~8mH2O左右;
hw——室外管网系统总的沿程阻力和局部阻力之和,可按供热半径0.01m/米估算,mH2O;
hy——热用户阻力,散热器系统取2 mH2O;地暖系统取5 mH2O。
2 补水泵的选型
补水泵的扬程应保证将水送到系统最高点并留有5~8mH2O的富裕压头。
补水泵正常运行流量为循环水量的1%;事故补水量为正常补水量的4倍。所以补水泵的流量一般按循环水量的3~5%选取。
集中供热系统:
一.集中供热系统的组成
集中供热系统是由热源、热网和热用户三部分组成的。
必须选择与热用户要求相适宜的供热系统形式及其管网与热用户的连接方式。
二.集中供热系统的分类:
1、根据热媒不同,分为热水供热系统和蒸汽供热系统。
2、根据热源不同,主要可分为热电厂供热系统和区域锅炉房供热系统。此外,也有以核供热站、地热、工业余热作为热源的供热系统。
3、根据供热管道的不同,可分为单管制、双管制和多管制的供热系统。
4、根据热源的数量不同,可分为单一热源供热系统和多热源供热系统。
5、根据系统加压泵设置的数量不同,可分为单一网络循环泵供热系统和分布式加压泵供热系统。
三.系统热用户与热水网路的连接方式:
可分为直接连接和间接连接两种方式。
直接连接是用户系统直接连接于热水网路上。热水网路的水力工况(压力和流量状况)和供热工况与供暖热用户有着密切的联系。
间接连接方式是在供暖系统热用户设置表面式水-水换热器(或者在热力站处设置担任该区域供暖热负荷的表面式水-水换热器),用户系统与热水网路被表面式水-水换热器隔离,形成两个独立的系统。用户与网路之间的水力工况互不影响。

(一)供暖系统热用户与热水网路的连接方式常见的几种方式:
1.无混合装置的直接连接
热水由热网供水管直接进入供暖系统热用户,在散热器内放热后,返回热网回水管去。
这种直接连接方式最简单,造价低。
只能在设计供水温度不超过规定的散热器供暖系统的最高热媒温度时才能采用。
用户引入口处热网的供回水管的自用压差大于供暖系统用户要求的压力损失时才能应用(供暖用户要求的压力一般为1~2mH2O)。
绝大多数低温水热水供热系统是采用这种方式。

2.装水喷射器的直接连接
3.装混合水泵的直接连接
工作原理:用混水泵代替喷射泵。来自热网供水管的高温水,在建筑物用户入口或专设热力站处,与混合水泵抽引的用户或街区网路回水相混合,降低温度后,再进入用户供暖系统。
特点:耗电大,但可调节流量。
适用条件:用户水温低于外网水温,用户入口处资用压力不大时(不足以克服喷射泵的阻力时)。
来自热网供水管的高温水,在建筑物用户入口或者专设热力站处,与混合水泵抽引的用户或者街区网路回水相混合降低温度后,再进入用户供暖系统。为防止混合水泵扬程高于热网供回水管的压差而将热网回水抽入热网供水管内,在热网供水管入口处应装设止回阀,通过调节混合水泵的阀门和热网供回水管进出口处的阀门开启度,可以在较大的范围内调节进入用户供热系统的供水温度和流量。

在热力站处设置混合水泵的连接方式可以适当地集中管理。
混合设备连接方式的造价比采用水喷射器的方式高,运行中需要经常维护并消耗电能。
装混合水泵的连接方式是我国目前尝试高温水供暖系统中应用较多的一种直接连接方式。
4.间接连接
1)原理:热网供水管的热水进入设置在建筑物用户引入口或热力站的表面 式水-水换热器内,通过换热器的表面将热能传递给供暖系统热用户的循环水,冷却后的回水返回到热网回水管去。供暖系统的循环水由热用户系统的循环水泵驱动循环流动。
2)特点:需投入换热设备造价高,循环水泵耗电多,需常维修,运行费用高。
3)适用条件:用户水温与外网水温不相同时或热水网路与热用户的压力状况不适应时。

5.直接连接与间接连接的比较
热水供热系统水力工况:
一.水压图使用

1.水压图包括如下内容:
横坐标表示供热系统的管道单程长度;
纵坐标的下半部分,表示供热系统的纵向标高,包括管网、散热器、循环水泵、地形及建筑物的标高,对于外网,当纵坐标无法将供热系统组成表示清楚时,可在水压图的下部标出供热系统示意图,如图3-1所示;
纵坐标的上半部分,表示供热系统的总水头或测压管水头线。
2.水压图的应用
1)确定管道上任何一点的压力;选择连接方式,静压线位置,保证不压坏,不倒空,不汽化;
2)确定用热设备(散热器和换热器)处的压力;
3)确定用户资用压头;
4)确定管道比摩阻;
5)确定循环水泵扬程。
二.水力工况分析
1.恒压点(静压线)压力变动:
在水泵不变、管道阻力未发生任何变化的情况下,则水压图形状不变;但随恒压点压力变化水压图沿纵坐标(兰虚线代表原水压图)上下平移。此时,流量及流量分配都不发生变化,但系统压力发生变化,可能会造成水压不能满足系统运行的要求,即可能出现超压、倒空、汽化。

2.循环水泵出口阀门关小:
当水泵出口阀门关小时,系统S值必然增大,根据水泵工作点的变动,水泵扬程将有所增加,系统流量有所减少,动水压图比原水压图(虚线代表原水压图)平缓。表明系统水流量减少,如果系统用户未调节阀门,则用户流量将成比例地减少。

3.干管泄漏:
干管泄漏相当于系统增加了并联环路,表现为系统总阻力系数减少,扬程略有下降,系统总流量增加,各用户流量均减少。同时,泄漏点上游段水力坡线变陡,其下游水力坡线变平缓。

4.干管堵塞:
当干管堵塞时,系统总阻力特性系数增大,循环水泵扬程提高,总循环水量减少,堵塞点上游区段,流体继续循环,在其下游区段,水流停止流动。图中给出 二种情况:
1)回水干管在B 点堵塞,恒压点在循环水泵入口处。从图3-5中看出,堵塞点后的区段压力远超过静压线值,系统末端用户严重超压,如果是直接连接,就会导致大量散热器破裂的事故,必须严防发生。

2)供水干管在A 点堵塞,恒压点在回水干管上。从图3-6中看出,由于水流停止区段的压力值等于静压线值,所以用户不会发生超压破坏。

5.末端用户装设增压泵:
末端用户装设增压泵是用于解决系统水力失调、末端用户资用压头不够的措施。图 3-7表示末端用户装设回水增压泵的水压图。
从图上可看出系统总流量增加,水力坡线变陡,末端用户循环水量增加,供暖效果得到改善;但其前面的用户的资用压头和循环水量会有所减少,若末端用户加压泵选择过大(过去由于没有合适的水泵)就会出现“抢水”现象,即末端用户改善了,其它(特别是相邻)用户反而变坏。现在的条件不一样,有序列的适合于末端用户装设的增压泵,特别是变频的变速泵,可以消除这一不利影响。最近几年的实践已经说明:合理配置末端用户增压泵,不但可以解决系统水平失调问题,而且有节省系统水泵运行电耗,降低系统压力和系统改造(建设)费用等优点。

6.系统变流量运行:
系统变流量运行是一项重要的系统节能技术。但系统变流量运行可以通过阀门节流、改变循环水泵运行台数和采用变速泵三种不同方式来实现。
从图3-8可看出,采用变速泵最节能,当流量降为91%时,功率降为72.9%,当流量降为50%时,功率只有设计功率的12.5%。

三.水力失调分析

如网路未进行初调节,前端热用户的实际阻力数远小于设计规定之,网路总阻力数比设计的总阻力数小,网路的总流量增加。
位于网路前端的热用户其实际流量比规定流量大得多。网路干管前部的水压曲线将变得较陡;而位于网路后部的热用户其作用压头和流量较小于设计值。网路干管后部的水压曲线将变得平缓些,如图3-9。
由于设计、运行及初调节不当等原因造成的热水网路水力二次失调,其主要原因是并联环路的压力不平衡导致流量不平衡,最终表现为供暖用户热力失调。
热水供热系统的初调节方法:
初调节一般在供热系统运行前进行,也可以在供热系统运行期间进行。初调节的目的是将各热用户的运行流量调配至理想流量(即满足热用户实际热负荷需求的流量),当供热系统为设计工况时,理想流量即为设计流量。换句话说,系统初调节主要是解决水量分配不均的问题,从而消除各用户的冷热不均问题,因此初调节也称为流量的均匀调节。
由于供热管网主干线比较长,最近分支和最远分支通过管径调整难以达到阻力平衡,只能通过增加近端用户阀门阻力来达到阻力平衡。若施工完毕,不进行初调节,势必会导致离热源近的用户实际流量比设计流量大,而离热源远的用户实际流量比设计流量小,出现了水平失调。
初调节的方法:
1.比例调节法
比例调节法的调节原理是依据两个用户之间的流量比仅取决于上游用户(按供水流动方向)之后管段的阻抗,而与上游用户和热源之间的阻抗无关。也就是说,对系统上游用户的调节,将会引起该系统下游用户之间的流量成比例的变化。
1)调节方法
a.利用平衡阀测出各用户流量,计算其失调度,然后从失调度最大支线调节;
b.从该支线最末端用户开始调节,使其流量调至失调度最小;
c.以其为参考,依次调节其他用户;
d.调节支线总阀,使支线流量达到设计流量。
e.按上述方法调节各支线阀门及总网阀门。
2)比例调节法的调节步骤如下:
a.调节支线的选择
b.支线内用户间的平衡调节
c.支线间的平衡调节
d.全网调节

2.补偿调节法
定义:这种通过合作阀再调节来保持基准用户水力失调度维持在某一数值的调节方法称为补偿法。
以图4-1为例,介绍补偿调节法的详细调节步骤。
1)补偿调节步骤
A.支线内调节
(1)任意选择待调支线。
(2)确定待调支线末端用户平衡阀在设计流量下的压降值,即基准阀压降值。
(3)计算基准阀的特性系数和开度。
(4)将一台智能仪表接至基准阀,调节支线A的分支平衡阀,即合作阀,使基准阀压降达值到计算值。
(5)调节用户2。
(6)依次调节用户3、用户4。
(7)A支线调节完毕后,按照上述方法依次调节其它支线。
2)支线间的调节
(1)调节支线D的平衡阀,使支线D的流量达到规定值。保留智能仪表对监控。
(2)另一台智能仪表依次接至调节支线C、B、A的平衡阀,依次调节平衡阀和合作阀、和合作阀、和合作阀,使C、B、A支线的流量均达到规定值。
(3)如果供热系统只有一条主干线,则全网调节结束。
3.回水温度调节法
适用原则:
当管网用户入口没有安装平衡阀;或当入口安装有普通调节阀但调节阀两端的压力表不全;甚至管网入口只有普通阀门时,可以采用回水温度调节法来进行调解。
调节原理:
当实际流量大于设计流量时,供回水温差减小,回水温度高于规定值;当实际流量小于设计流量时,供回水温差增大,回水温度低于规定值。
因此,只要把各用户的回水温度调到相等(当供水温度相等)或供回水温差调到相等(管道保温效果差,供水温度略有不同),就可以使各热用户得到和热负荷相适应的供热量,达到均匀调节的目的。
1)调节温度的确定
(1)当热源供热量大于等于用户热负荷,循环泵流量大于设计流量时,考虑到循环泵节能运行,此时用户回水温度应调节到温度调节曲线对应的回水温度;
(2)当热源供热量大于等于用户热负荷,循环泵流量小于设计流量时,供回水平均温度应调节到温度调节曲线对应的供、回水温度平均温度值;
(3)当热源供热量小于用户热负荷时,用户回水温度调节到略低于总回水温度。
调节过程:
(1)记录各用户回水温度,并和总回水温度作比较
(2)第一轮调整,近端用户阀门关闭应过量。记录各用户阀门关闭圈数。
(3)第一轮调整完毕,待总回水温度稳定不变后记录各用户回水温度,和调节前作比较,再和总回水温度作比较,进行第二轮调整。
(4)按照管网流速和最远用户管长进行估算。如此反复进行。
4.计算机调节法
此方法为中国建筑科学院空调研究所提出。
特点:借助平衡阀和配套智能仪表测定用户局部系统的实际阻力特性系数,根据此阻力特性系数,调整用户压降以计算用户流量。
方法:将用户平衡阀任意改变两个开度,分别测试两种工况下的用户流量、压降和平衡阀前后的压降,进而由计算机求出用户的阻力特性系数,计算出在设计理想工况下的阻力值和平衡阀的开度,在现场直接把平衡阀调到要求的开度即可。
5.模拟分析法
定义:模拟分析方法的实质是用管网的节点方程和独立回路压力平衡方程来描述管网的结构,用阻抗来描述管道管段的管径、长度、管道内壁当量绝对粗糙度、以及管段局部阻力当量长度等。
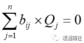
1) 管网的节点方程
根据质量守恒原理,在恒定流动过程中,与任一节点关联的所有分支的流量,其代数和等于零。
即供热管网的节点方程:


2) 独立回路压力平衡方程
根据管网恒定流动过程中,任意回路中沿回路方向,各个分支管段压降的代数和等于零。对于环路,独立回路压力平衡方程为:

3)模拟调节方法
(1)首先通过各种可能的方法来确定各分支的阻抗值,建立方程组,即建立了管网的模型,并求解各分支管段的流量。
(2)其次,确定各用户通过理想流量时,用户调节阀所需要的理想阻抗;
(3)最后通过逐一改变方程中“调节阀”的阻抗,也就是用理想阻抗值逐个替代实际“调节阀”的阻抗值,来模拟实际管网的初调节。

