在电力系统设计里,负荷计算可是特别关键的一环。计算得准不准,直接影响着电网能不能可靠、安全地运行。为啥要做负荷计算呢?主要就是为了弄清楚电力系统各个部分需要多少电,给系统的规划、设计、运行还有维护,提供靠谱的数据。
负荷计算包含好多内容,像负荷预测、负荷分布、负荷曲线分析,还有负荷特性研究等等。其中,负荷预测就是预估未来一段时间内的用电需求,又分短期和长期预测。负荷分布说的是电在电网里是怎么分布的,涉及负荷点、负荷区,还有负荷中心这些概念。负荷曲线分析,就是研究用电量随着时间是怎么变化的,常见的有日负荷曲线、周负荷曲线,还有年负荷曲线。负荷特性研究,就是分析用电的性质和特点,比如用电高峰低谷有啥规律,不同季节、不同地区用电又有啥不一样。
对于搞电气设计的人来说,负荷计算是必须掌握的一项技能。不管是选电线、选设备,还是挑保护开关,又或者是分析电网系统,都得用到负荷计算的知识。所以,小编专门整理了 9 个负荷计算的基础入门知识,分享给大家,希望能在大家工作、学习的时候,起到参考作用。

✔ 负荷计算定义:
计算负荷是将实际负荷转换成一种假想的持续负荷的计算方法。实际负荷中有不间断工作的,也有随机变化的,利用负荷计算将它们进行归一化的处理。
✔ 负荷计算的目的
负荷计算的目的是为供配电设计提供所需要的各项数据。例如,在选变压器容量的时候,需要利用负荷计算的方法得到待选供电区域的负荷有功功率、无功功率和视在功率。
✔ 负荷计算的内容:
求取各种电气物理量,例如负荷有功功率、无功功率、视在功率、尖峰电流、电网损耗等等。
✔ 负荷计算的方法:
主要的负荷计算方法有:
(1)单位指标法;
(2)需要系数法;
(3)利用系数法;
✔ 负荷计算方法选用:
1)单位指标法:适用于负荷功率不明确的各类项目,多用于在项目前期方案的初步估算
2)需要系数法:适用于各种负荷已知的项目,多用于初设阶段设计、照明负荷统计和高压系统,另外,5台以下设备不宜使用此方法;
3)利用系数法:特别适用于工业企业电力负荷计算。
✔ 单位指标法的负荷计算:
单位指标法包括三种方法,分别是:负荷密度指标法、综合单位指标法和单位产品耗电量法。负荷密度指标法计算公式:



✔ 需要系数法的负荷计算:
需要系数法三要素:
1)需要系数;
2)设备功率计算;
3)同时系数选取;
主要计算公式:


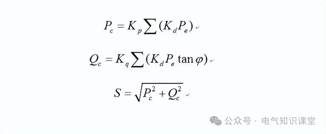
✔ 利用系数法的负荷计算:
利用系数法三要素:
1)利用系数;
2)设备有效台数;
3)最大系数;
主要计算公式:


✔ 配电线路尖峰电流的计算方法:
尖峰电流主要是由于配电线路上电动机、变压器等带有冲击性负荷设备工作时产生的冲击电流。计算时,一般只考虑一台冲击设备的冲击电流,其他设备为额定电流。一般不考虑多台同时启动。


✔ 文章总结:
总结看了上述内容,大家应该对负荷计算有一个初步的了解;或许会觉得负荷计算不算太难。其实,在真正项目中使用的时候负荷计算还是比较麻烦的,如何选择合适的系数、单相三相负荷的转换、设备功率的计算和化简,都是要面临的问题,本文也仅仅是起到一个抛砖引玉的作用。

