
一、负荷计算
按照计算负荷表,两台水泵同时运行的负荷计算如下:

由于水泵是一台一台的进行启动,所以单台启动时的电流:

(用来选熔断器、断路器、整定继电保护装置,检验电机自起动条件)
水泵电缆选择:

二、变压器的选择
单台留有80%的裕量可满足要求。有两台主变压器的变电所,变压器选择:

变压器可选:容量大于177.74 kVA。因为矿上已有SC-800/10/0.4型的变压器,在容量上满足要求。
从中央配电室到中央变压器室的电缆选择:

按经济电流范围,查表得杨庄交联聚乙烯绝缘带铠装铜芯电缆电流为19.48A时,
选择导线截面积
,截面积为
时对于华东地区三班制电流为29-41A之间大于19.48A满足载流量的要求。
由于中央配电室和中央变电室的距离很小,压降可以忽略不计。因为井下没有高压用电设备所以初步选择从井上的柴油发电机组到井下的中央配电所的电缆也是YJV22-335,经计算从柴油发电机组到井下中央配电所的距离约1400米。
经查表得:10kV交联聚乙烯绝缘带铠装电力电缆的

三、电压损失计算
电压损失:

四、短路计算
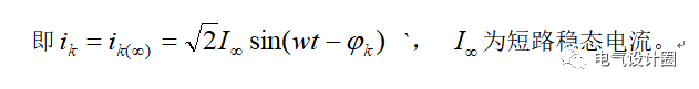
短路保护 :无限大容量电力系统中三相短路的物理过程,三相短路电流=周期分量+非周期分量。
即 :

当时间趋向无穷大时,非周期分量趋向于零。
即:

与短路有关的物理量:


短路稳态电流:
标幺值法:设定基准容量、基准电压—基准电流—基准电抗,标幺值为相应的电抗值/基准电抗值 一般只用于高压电路短路计算。
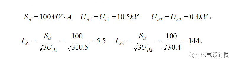
确定基准值 设定基准容量、基准电压—基准电流—基准电抗,取:

电抗标幺值:
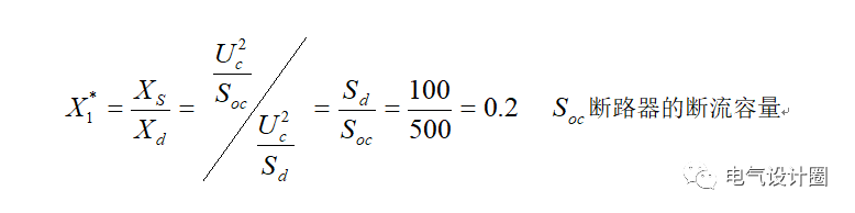
(1)电力系统的电抗标幺值,查表得断路器的容量为:


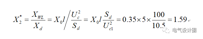
(2)架空线路的电抗标幺值,查表:


(3)电力变压器的电抗标幺值,查表得:


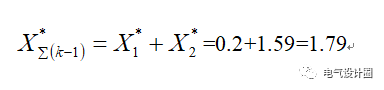
k-1串联情况下:
(1)总电抗标幺值:

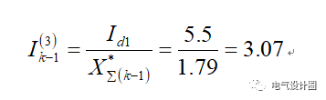
(2)三相电流周期分量标幺值:

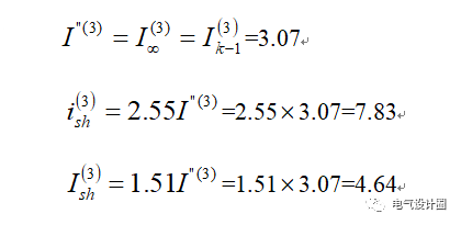
(3)其他三相短路电流为:

(4)三相容量为:

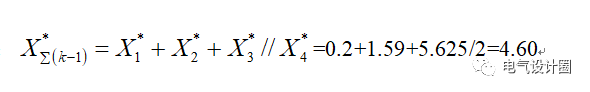
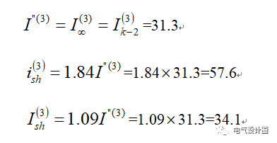
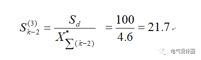
k-2串并联情况下:
(1)总电抗标幺值:

(2)三相电流周期分量有效值:

(3)其他三相短路电流为:

(4)三相容量为:

五、低压电网短路计算
常采用欧姆法:阻抗单位常采用豪欧。
通常电抗有: 所有元件的阻抗、母线的阻抗、电流互感器一次线圈阻抗、低压线路中各个开关触头接触电阻,阻抗较小者可忽略。当低压线路中只有一相或两相装有电流互感器时,则在计算三相短路电流时不计入电流互感器一次线圈的阻抗,但用于计算校验电流互感器的电路电流,则应计入其阻抗。

例:一10kV 进线经变压器隔离开关到母线,然后分出多条回路,回路有断路器、电流互感器有短路计算。
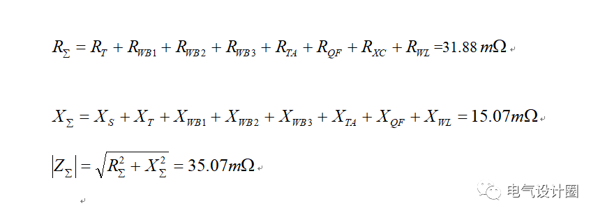
(1)计算短路电路中的各个元件的电阻和电抗:

1)电力系统S的电抗:

2)电力变压器T的电阻电抗查表得:


3)母线WB1的电阻和电抗:查表根据导线截面间距选择:


4)母线WB2的电阻和电抗:查表根据导线截面间距选择:


5)母线WB3的电阻和电抗:查表根据导线截面间距选择:


6)电流互感器TA一次线圈的电阻电抗查表得:

7)低压短路器QF过电流线圈的电阻和电抗查表得:

8)线路中各开关触头的接触电阻, 查附录表得:隔离开关QS的接触电阻0.03mΩ,刀开关QK的接触电阻0.4mΩ,低压断路器QF的接触电阻为0.6mΩ,因此总的接触电阻为:

9)低压电缆VLV-1000-350的电阻和电抗:


(2)计算短路电路的总的电阻、电抗和总阻抗:

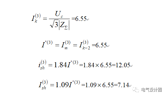
(3)其他三相短路电流为:

(4)三相容量为:

无限大容量电力系统中两相和单相短路电流的计算:
(1)两相短路电流的计算

(2)单相短路电流的计算



六、柴油发电机组的选择
(一)柴油发电机组的型号容量估算:
(1)按变压器容量的10%-20%估算柴油发电机组容量,取15%得:

(2)按起动单台或成组电动机容量来计算:





七、电缆截面选择
10kW及以下高压线路及1kW以下低压动力线路,通常先按照发热条件选择导线或电缆截面,再校验电压损耗和机械强度。
低压照明线路,因对电压水平要求较高,先按允许电压损耗进行选择,再校验发热条件和机械强度。
对长距离大电流线路和35kV以上高压线路,先按经济电流密度选择一个截面,再校验其他条件。


八、隔离开关选择
10kW 电路设计产品选型计算:
(1)高压隔离开关:检修时高压设备时,可以断开电源。
(2)按正常条件选择:电压、电流、频率、机械载荷。
(3)按短路稳定性校验:额定动稳定电流、热稳定电流和持续电流。
(4)承受过电压能力:对地和断口间的绝缘水平,外绝缘爬电比距。
(5)环境条件:环境温度、日温差、最大风速、相对湿度、污秽、海拔高度、地震强度。
九、熔断器的选择
熔断器的选择计算:



